一人読書会 「計算機プログラムの構造と解釈」 (5)
1.1.7 Newton 法による平方根
問題 1.7
さて、Newton 法 も何となくわかった気になったが、本書に書かれているロジック とは何か違う。
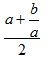
前回は なんや、微分して、x軸との交点を求めて・・・ みたいなイメージだったのだが、本書では、予測値で、平方根を出したい値を割って、さらにその平均をとることを繰り返している。
√2 を計算する
| 予測値 | 商 | 平均 |
| 1 | 2/1 = 2 | (1 + 2) / 2 = 1.5 |
| 1.5 | 2/1.5 = 1.3333 | (1.5 + 1.3333) /2 = 1.4167 |
| 1.4167 | ・・・ | ・・・ |
うーん 違和感を感じる。何故平均でいいんだ?
最近、「数学ガール」 を読了して、数式をみて思考停止しなくてすむようになったのと、ちょっと数式を展開するのがおもしろく感じたこともあるし、今年は、中学程度も怪しい数学レベルをせめて高校程度までもっていこうという野望を抱いているので、ここはちょっとこだわっておこう。そのうち息子に算数を教えることができるようにしとくためにも・・・
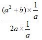
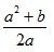
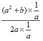
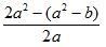
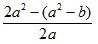
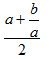
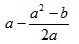
まず、上記で行っている作業は、平方根を求める対象を b として、予測値を a とし、素直に以下の式とする。
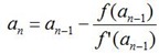
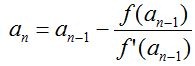
で、一方、Newton 近似の 一般式は、
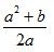
本書で言う、予測値の部分が、
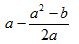
箇所なので、やはり平方根を求める対象を b とすると、
これでようやく、本書で実装されたところの意味を理解することができました。


